Strona główna A-biznes RRSO – ile NAPRAWDĘ kosztuje Twój kredyt firmowy? (Rzeczywista Roczna Stopa Oprocentowania)

RRSO – ile NAPRAWDĘ kosztuje Twój kredyt firmowy? (Rzeczywista Roczna Stopa Oprocentowania)

0
RRSO – ile NAPRAWDĘ kosztuje Twój kredyt firmowy? (Rzeczywista Roczna Stopa Oprocentowania)

Rzeczywista Roczna Stopa Oprocentowania (RRSO) jest wskaźnikiem, który przeraża – najczęściej swoją wysokością oraz tych, którzy są wystarczająco zdeterminowani, aby sprawdzić, jak jest ona obliczana, również za pomocą formuły.

Na szczęście diabeł nie jest tak straszny, jak go malują. Ponadto, ten konkretny diabeł może być bardzo użyteczny, zwłaszcza jeśli prowadzisz firmę.

W tym tekście przedstawimy czym jest RRSO, jak je interpretować, czym różni się od innych miar stosowanych do oceny kredytowej i wreszcie – jak dość dokładnie, nawet w pamięci, obliczyć RRSO.

Co to jest RRSO?

RRSO jako wskaźnik formalnie funkcjonuje w świecie kredytów konsumenckich – nazwa Rzeczywista Roczna Stopa Procentowa pochodzi z Ustawy o kredycie konsumenckim. Nic jednak nie stoi na przeszkodzie, aby nie był on stosowany również w odniesieniu do kredytów dla przedsiębiorstw, tym bardziej, że realna roczna stopa procentowa zwrotu (IRR) jest w rzeczywistości uniwersalną koncepcją leżącą u podstaw wewnętrznej stopy zwrotu (IRR). Wskaźnik ten jest szeroko stosowany w biznesie do oceny rentowności inwestycji.

„Ustawa definiuje rzeczywistą roczną stopę procentową jako „całkowity koszt kredytu ponoszony przez konsumenta, wyrażony jako procent całkowitej kwoty kredytu w skali roku”.

W przypadku kredytów dla przedsiębiorstw kredytodawca nie jest zobowiązany do zapewnienia APRC. W pewnym sensie jest to paradoks, ponieważ jak się wkrótce przekonasz, realna roczna stopa procentowa jest szczególnie przydatna w biznesie.

Definicja ustawy zawiera kilka bardzo ważnych cech rzeczywistej rocznej stopy procentowej:

  • jest obliczana na podstawie całkowitego kosztu kredytu, tj. odsetek, prowizji, opłat, kosztów ubezpieczenia i wszelkich innych kosztów, które klient musi ponieść na rzecz kredytodawcy;
  • Koszty te są ujmowane jako procent całkowitej kwoty kredytu……
  • ….ale – i tu występują pewne trudności i kontrowersje związane z RRSO – zarówno koszty, jak i kwota kredytu są ujmowane w ujęciu rocznym.

Jak interpretować RRSO?

Mówiąc prościej, rzeczywista roczna stopa oprocentowania odpowiada na pytanie: jaka byłaby roczna stopa oprocentowania danej pożyczki, aby mogła ona zastąpić wszystkie związane z nią koszty (w tym prowizje i ubezpieczenie). W pewnym sensie, możemy powiedzieć, że środek ten jest rzeczywistą stopą procentową pożyczki.

Nie jest to duża przesada: przecież w nazwie wskaźnika mamy prawdziwe słowo o podobnym znaczeniu.

„Dzięki temu, że RRSO redukuje wszystkie koszty związane z kredytem do jednej liczby, porównywanie ofert poszczególnych kredytodawców staje się znacznie łatwiejsze niż byłoby, gdybyśmy porównywali każdy z parametrów oddzielnie.”

Wyobraź sobie tylko to pytanie: czy lepiej jest mieć niską stopę procentową i wysoką prowizję, czy też lepiej mieć wysoką stopę procentową i niższą prowizję? Odpowiedź nie jest oczywista, ale rzeczywista roczna stopa procentowa daje ją natychmiast.

Niestety, do jego wskazań nie można podejść bezkrytycznie.

Na przykład, RRSO nie informuje o bezwzględnej wysokości kosztów. Dwie różne pożyczki udzielone na ten sam okres i na tę samą kwotę mogą mieć ten sam APRC i różne koszty całkowite.

Uniwersalność rzeczywistej rocznej stopy oprocentowania ma swoje granice w praktyce. Na przykład, można łatwo obliczyć RRSO na chwilowy okres 1.000 PLN tygodniowo i kredyt hipoteczny w wysokości 300.000 PLN na okres 30 lat. Jednak porównanie obu kredytów nie ma większego sensu – choćby dlatego, że żadna rozsądna osoba nie sfinansowałaby zakupu mieszkania chwilówką.

Kredyty krótkoterminowe

Ponieważ wspomnieliśmy o pożyczkach typu payday, należy stwierdzić, że RRSO jest szczególnie nieuprzejma w przypadku pożyczek krótkoterminowych. Wynika to głównie z tego, że koszty jednorazowe (prowizje i opłaty) w tym przypadku stanowią znaczną część kosztów. Tymczasem RRSO informuje nas, jaki jest średni roczny koszt finansowania danej pożyczki. Licząc to do pożyczek krótkoterminowych, postępujemy – mówiąc w przenośni – tak, jakbyśmy zaciągali kolejne pożyczki, aby „wypełnić” je przez cały rok.

Przykład? Gdybyśmy sfinansowali nasze wydatki 3-miesięczną pożyczką, potrzebowalibyśmy 4 takich pożyczek na rok. Oznacza to, że do celów obliczania RRSO prowizje i wszystkie jednorazowe opłaty są uwzględniane cztery razy. W przypadku „wypłat pożyczek” sprawa wygląda jeszcze gorzej – w przypadku pożyczki udzielonej na tydzień prowizje i opłaty naliczane za „dzień dobry” są obliczane 52 razy! Dlatego wskaźnik RRSO dla pożyczek krótkoterminowych może być bardzo wysoki, sięgając setek procent, a nawet przekraczając 1000%.

Przy takich wartościach RRSO traci część swojej wartości informacyjnej (w końcu klient pożyczki krótkoterminowej jest głównie zainteresowany odpowiedzią na pytanie „ile będę musiał oddać?”), Ale nadal nadaje się do porównywania podobnych produktów ze sobą. Ponadto doskonale ilustruje skalę przychodów uzyskiwanych przez firmy pożyczkowe od tych, którzy rzetelnie spłacają swoje zobowiązania. I to prawdopodobnie prawdziwy powód niechęci firm pożyczkowych do RRSO.

„Im krótszy okres kredytowania, tym wyższa ogólnie RRSO. Dlatego porównując pożyczki, należy porównać podobne pożyczki pod względem okresu pożyczki.”

RRSO kontra całkowity koszt kredytu

Przeciwnicy RRSO, zwłaszcza ci reprezentujący obóz pożyczkodawców krótkoterminowych, twierdzą, że koszty pożyczki lepiej ilustruje całkowity koszt pożyczki: prosta suma wszystkich kosztów (od odsetek po różne opłaty) w złotych. Ostatecznie twierdzą, że klient jest przede wszystkim zainteresowany tym, ile pieniędzy będzie musiał zapłacić za pożyczkę.

W przypadku pożyczek konsumenckich jest to w pewnym stopniu prawdziwe – kupując telewizor na raty, przede wszystkim interesuje Cię, ile dodatkowo za to płacisz. Podobnie w przypadku krótkoterminowych pożyczek ad hoc prawdopodobnie bardziej interesuje Cię suma kosztów niż jakakolwiek abstrakcyjna RRSO. Prawdopodobnie wolisz zapłacić 500 PLN za 5000 PLN pożyczonych na 3 miesiące niż 700 PLN za tę samą kwotę na pół roku (mimo że druga pożyczka ma niższą RRSO).

W biznesie jest jednak zupełnie inaczej. W biznesie powinieneś przede wszystkim interesować się RRSO.

„W przeciwieństwie do prywatnego portfela pieniądze powinny działać w biznesie. W biznesie pieniądze robią pieniądze.”

RRSO informuje bezpośrednio, ile kosztuje każdy pożyczony złoty rocznie. Jeśli kosztuje Cię to mniej, niż możesz w tym momencie zarobić (nawiasem mówiąc, tylko w tym przypadku powinieneś pomyśleć o pożyczce), to mając dwie pożyczki z tą samą RRSO do wyboru, istnieje duża szansa, że to lepiej będzie wybrać ten … wyższy całkowity koszt!

Jak obliczyć RRSO?

Zgodnie z definicją RRSO to „całkowity koszt kredytu dla konsumenta, wyrażony jako odsetek całkowitej kwoty kredytu w ujęciu rocznym”. Prawdą jest, że dokładne obliczenia, które należy wykonać w celu ponownego obliczenia kosztów rocznie, nie są najprostsze, ale przynajmniej w przypadku pożyczek krótkoterminowych reguła jest dość intuicyjna. Można powiedzieć, że do celów obliczeniowych postępujemy tak, jakbyśmy zaciągali pożyczkę po pożyczce, dopóki nie „wypełnimy” ich całym rokiem. I tak, w przypadku pożyczki na 6 miesięcy „pożyczki będą potrzebne”, w przypadku pożyczki na 3 miesiące – aż cztery. Oznacza to, że wszystkie koszty jednorazowe będą wielokrotnie uwzględniane w obliczeniach.

W przypadku pożyczki dłuższej niż jeden rok sprawa jest dokładnie odwrotna: prowizje i opłaty poniesione raz są „rozłożone” na dłuższy okres, na przykład – kilka lat. W rezultacie ich wpływ na poziom RRSO jest mniejszy.

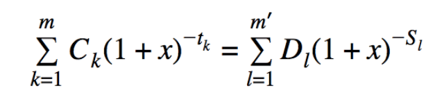
Wzór: Matematycznie RRSO jest liczbą, która rozwiązuje następujące równanie:

gdzie X to RRSO, Ck – kwoty kolejnych wypłat, a Dl – kwoty kolejnych spłat.

Objaśnienie wszystkich symboli:

X – rzeczywista roczna stopa oprocentowania;
m – numer kolejny ostatniej wypłaty raty kredytu;
k – numer kolejny wypłaty, zatem 1 ≤ k ≤ m;
Ck – kwotę wypłaty k;
tk – okres, wyrażony w latach lub ułamkach lat, między dniem pierwszej wypłaty a dniem każdej kolejnej wypłaty, zatem t1 = 0;
m’ – numer kolejny ostatniej spłaty lub wnoszonych opłat;
l – numer kolejny spłaty lub wnoszonych opłat;
Dl – kwota spłaty lub wnoszonych opłat;
Sl – okres, wyrażony w latach lub ułamkach lat, między dniem pierwszej wypłaty a dniem każdej spłaty lub wniesienia opłat.

Wzór na RRSO stanie się mniej straszny, jeśli zapisujemy go nieco inaczej i założymy, że pożyczka jest wypłacana w jednej transzy (czyli, jak prawdopodobnie większość wypłaconych kredytów).

W tej formie wzór staje się bardziej czytelny. Niestety, staje się również jasne, że dokładne obliczenie x nie jest zadaniem, które można wykonać na kartce papieru lub na zwykłym kalkulatorze. Ale nie martw się! Przybliżona rzeczywista roczna stopa procentowa może być łatwo obliczona nawet w pamięci, podczas gdy dokładne osoby mogą korzystać z arkusza kalkulacyjnego.

Jak obliczyć RRSO bez wzoru?

Sytuacja jest najprostsza, gdy jedynym kosztem kredytu są odsetki. RRSO jest wtedy po prostu równa stopie procentowej pożyczki. Należy jednak upewnić się, że faktycznie płacisz tylko odsetki. Kredytodawcy lubią podkreślać zerową liczbę w swojej ofercie, ale lubią też ukrywać koszty, aby kredytobiorca dowiedział się o nich jak najpóźniej.

Jeśli Twój kredyt nie jest długoterminowy (powiedzmy do 3 lat), możesz dość dobrze oszacować swój RRSO, dodając następujące wartości:

  • oprocentowanie kredytu;
  • suma wszystkich poniesionych opłat jednorazowych, opłat ubezpieczeniowych i usługowych, wyrażona jako procent kwoty kredytu, pomnożona przez 12, a następnie podzielona przez liczbę miesięcy, na które udzielono kredytu;
  • stawkę ubezpieczenia dodaną do bieżącej raty (jeśli płacisz ją i jeśli jest ona obliczana na bieżąco, a nie jednorazowo); jeśli stawka ubezpieczenia jest podawana w okresach miesięcznych, należy ją pomnożyć przez 12.

Przykładobliczania RRSO:
Kwota kredytu: 10 000 zł
Okres kredytowania: 6 miesięcy
Oprocentowanie: 8%
Prowizja: 100 zł (czyli 1% kwoty kredytu)
Ubezpieczenie: 0,1% kwoty wykorzystanego kredytu miesięcznie
RRSO ≈ 8% + 1% x (12/6) + 0,1% x 12 = 8% + 2% + 1,2% = 11,2%

Jak obliczyć RRSO - wzór

Podsumowując…

Przeczytałeś solidny artykuł z wieloma informacjami. Uważamy, że są one użyteczne, więc aby lepiej je zapamiętać, podsumujmy je:

  • Roczna stopa procentowa nieruchomości jest „realną stopą procentową pożyczki”. – to stopa procentowa, przy której odsetki zastąpiłyby wszystkie inne koszty finansowania zewnętrznego,
  • RRSO jest niezwykle użyteczne, ale nie bezbłędne – powinny mu towarzyszyć inne wskaźniki dotyczące krótkoterminowego kredytu konsumenckiego,
  • Do porównania podobnych kredytów należy wykorzystać RRSO; im krótszy okres kredytowania, tym wyższy ogólny RRSO,
  • RRSO jest doskonałym wskaźnikiem dla kredytów dla przedsiębiorstw,
  • W działalności gospodarczej RRSO jest zazwyczaj ważniejsza niż np. całkowity koszt kredytu,
  • Banki i przedsiębiorstwa udzielające kredytów nie są zobowiązane do zapewnienia RRSO w odniesieniu do kredytów dla przedsiębiorstw. Można je jednak z grubsza oszacować samemu, nawet w pamięci.

ZOSTAW ODPOWIEDŹ

Proszę wpisać swój komentarz!
Proszę podać swoje imię tutaj